¿Te cuesta entender la Química Orgánica?
Cursos de Química Orgánica para los Grados en Química, Ingeniería Química, Biotecnología y Farmacia de las Universidades españolas.
Material específico para cada Universidad con teoría, ejercicios y exámenes resueltos en vídeo, creado por Germán Fernández. Soporte para dudas por WhatsApp.
Más información en www.foroquimico.com
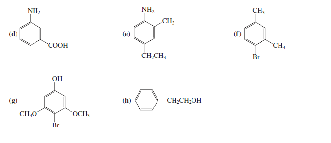
Indicar el nombre IUPAC de los siguientes derivados del benceno:
.png)
.png)
SOLUCIÓN:
YouTube | Miembros del canal Hazte miembro del canal para acceder a todos los vídeos Vídeos para miembros